《晴天》是由中国台湾男歌手周杰伦填词、谱曲并演唱的歌曲,收录于其2003年7月31日发行的专辑《叶惠美》中。下面由小编为大家介绍《晴天》简谱,希望能帮到你。
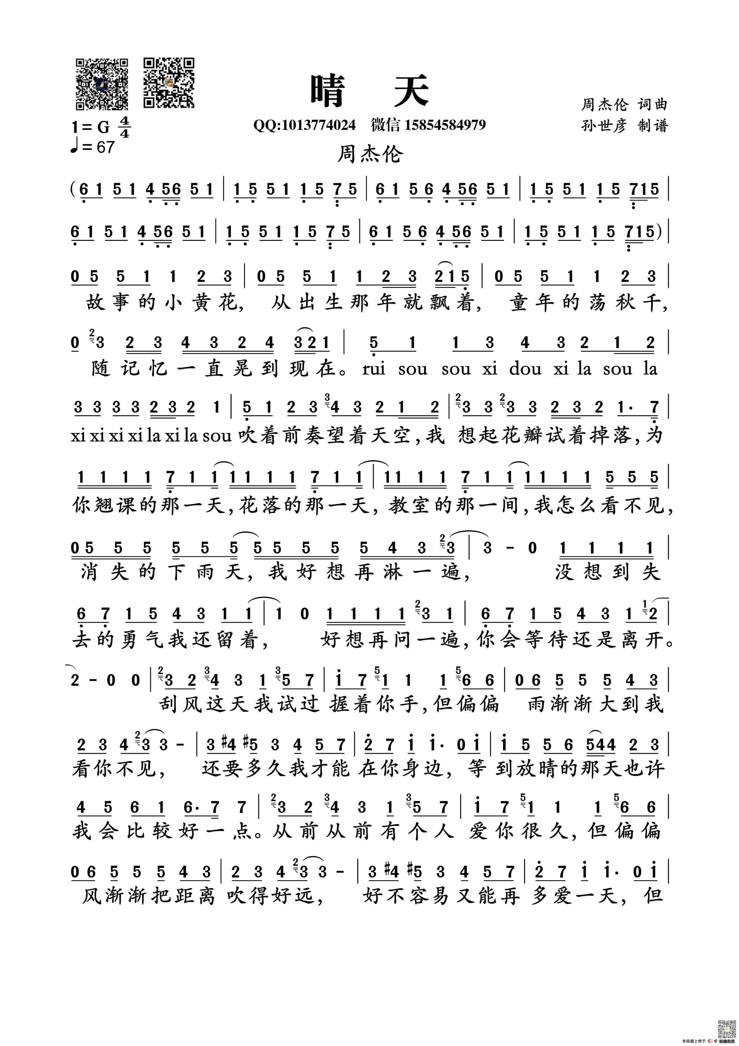
《晴天》简谱


【图片来源:中国曲谱网】
《晴天》歌词
故事的小黄花 从出生那年就飘着
童年的荡秋千 随记忆一直晃到现在
Re So So Si Do Si La
So La Si Si Si Si La Si La So
吹着前奏 望着天空
我想起花瓣 试着掉落
为你翘课的那一天
花落的那一天
教室的那一间 我怎么看不见
消失的下雨天 我好想再淋一遍
没想到 失去的勇气我还留着
好想再问一遍 你会等待还是离开
刮风这天 我试过握着你手
但偏偏 雨渐渐
大到我看你不见
还要多久 我才能在你身边
等到放晴的那天
也许我会比较好一点
从前从前 有个人爱你很久
但偏偏 风渐渐
把距离吹得好远
好不容易 又能再多爱一天
但故事的最后
你好像还是说了 拜拜
为你翘课的那一天
花落的那一天
教室的那一间 我怎么看不见
消失的下雨天 我好想再淋一遍
没想到 失去的勇气我还留着
好想再问一遍
你会等待还是离开
刮风这天 我试过握着你手
但偏偏 雨渐渐
大到我看你不见
还要多久 我才能在你身边
等到放晴的那天
也许我会比较好一点
从前从前 有个人爱你很久
偏偏 风渐渐
把距离吹得好远
好不容易 又能再多爱一天
但故事的最后
你好像还是说了 拜拜
刮风这天 我试过握着你手
但偏偏 雨渐渐
大到我看你不见
还要多久 我才能够在你身边
等到放晴那天
也许我会比较好一点
从前从前 有个人爱你很久
但偏偏 风渐渐
把距离吹得好远
好不容易 又能再多爱一天
但故事的最后
你好像还是说了 拜拜
《晴天》创作背景
《晴天》这首歌曲是周杰伦的内心独白。在创作《晴天》时,周杰伦用一种孤独的内心感受展现了一种细腻和内敛的伤感和脆弱。他所写的内容与方文山营造的神奇诡异不同,更贴近现实和自己内心。该歌曲讲述的是怀念校园的点滴,一起约定,等到放晴的那天,共同来谱一段纯纯的爱。
《晴天》歌曲鉴赏
《晴天》是一首偏校园怀旧风的Britpop歌曲。这是首浪漫的少年情歌,有风花雪月,更多的是怅然若失,很散文诗式的情怀,用周杰伦的方式演绎,就更带点伤感。这首歌将回忆的思绪充分放大,校园时代的青涩,甜美纯真的爱情,桀骜不驯的叛逆,在这首歌里全都有体现。歌词中出彩的“re si duo si”的日本发音,恰到好处的衔接,听上去简直如一个美丽而忧伤的青春爱情故事,让人有掉泪的冲动。MV中的大提琴演奏将旋律升华到艺术的气质,最后的rap更是增加了周杰伦独特的情歌特色。